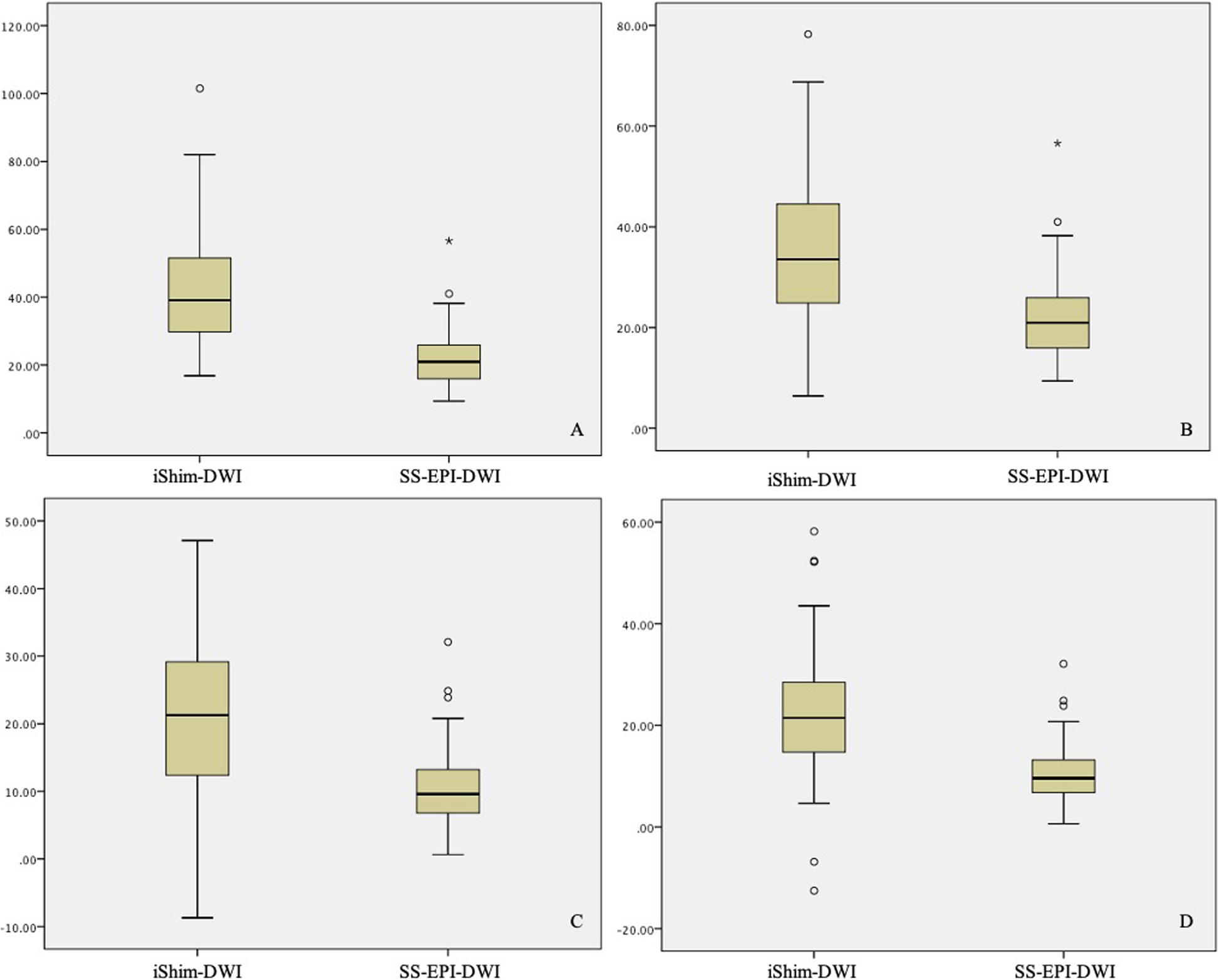
Fig. 2

Boxplot of SNR and CNR of primary rectal tumor between iShim- and SS-EPI-DWI. a: SNR of primary rectal tumor in b = 800 s/mm2 of iShim-DWI was significantly higher than in b = 1000 s/mm2 of SS-EPI-DWI (P < 0.001). b: SNR of primary rectal tumor in b = 1600 s/mm2 of iShim-DWI was significantly higher than in b = 1000 s/mm2 of SS-EPI-DWI (P < 0.001). c: CNR of primary rectal tumor in b = 800 s/mm2 of iShim-DWI was significantly higher than in b = 1000 s/mm2 of SS-EPI-DWI (P < 0.001). d: CNR of primary rectal tumor in b = 1600 s/mm2 of iShim-DWI was significantly higher than in b = 1000 s/mm2 of SS-EPI-DWI (P < 0.001)