Fig. 3
From: Are radiomics features universally applicable to different organs?

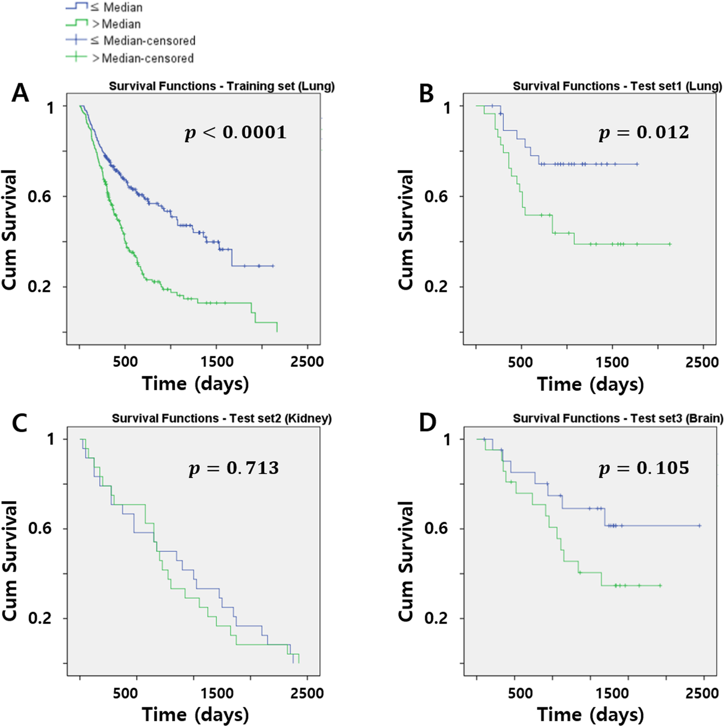
The Kaplan-Meier plots using the radiomics score of all the selected features of (a) training set (top left), (b) test set1 (top right), (c) test set2 (bottom left), and (d) test set3 (bottom right). The blue line is the low-risk group (≤ Median), and the green line is the high-risk group (> Median)