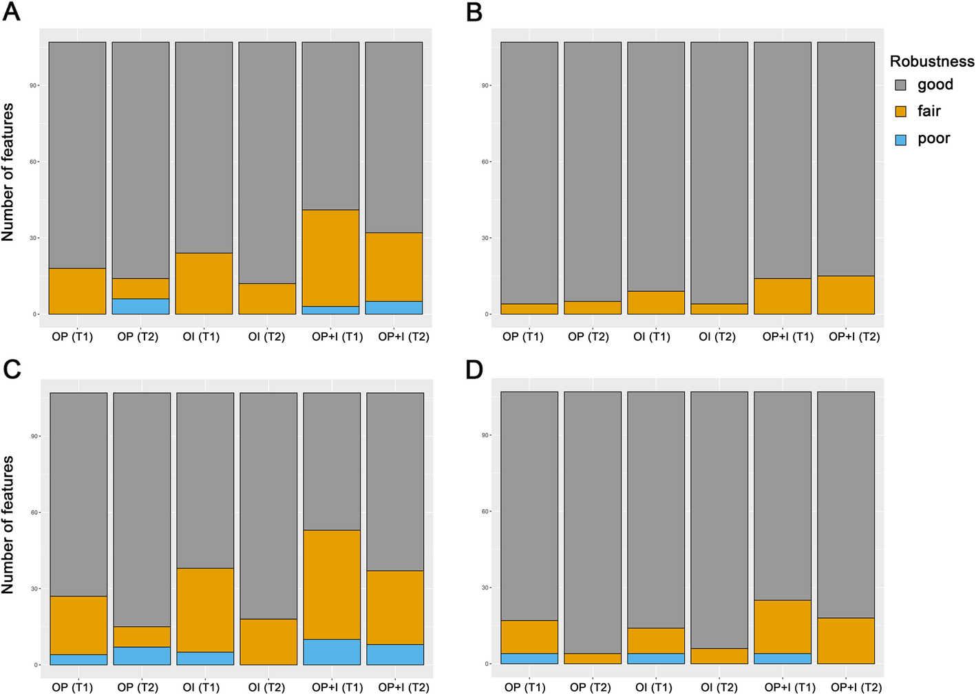
Fig. 2

Proportions of features having good (gray), fair (yellow), and poor robustness (blue). Intraclass correlation coefficient (ICC) values between the original images and the images that underwent pixel size resampling of 0.6 mm (OP), the original images and the images that underwent interpolation (slice thickness: 5 mm) (OI), and the original images and the images that underwent pixel size resampling and interpolation (OP+I) were evaluated. a Original images without feature standardization. b Original images with feature standardization. c Intensity-normalized images without feature standardization. d Intensity-normalized images with feature standardization