Fig. 2

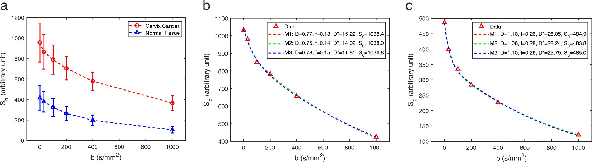
a Mean diffusion-weighted signal Sb (error bars denote standard deviation) in the cancer and normal tissue ROIs for the same patient shown in Fig. 1. b Fitting of a cancer voxel by all three methods. In the legend, units for D, f, D*, S0 and sum of squared error (SSE) are, respectively, mm2/s, unitless, mm2/s, arbitrary unit (a.u.) and (a.u.)2. c Fitting of a normal tissue voxel by all three methods