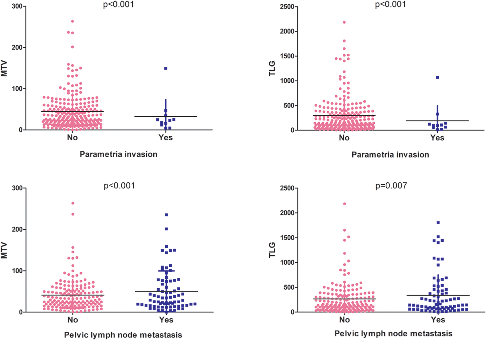
Fig. 3

The relationships between 18F-FDG uptake and parametria invasion and pelvic lymph node metastasis. For high-risk factor, MTV and TLG had significant relationships with parametria invasion (MTV: p < 0.001; TLG: p < 0.001) and pelvic lymph node metastasis (MTV: p < 0.001; TLG: p = 0.007)