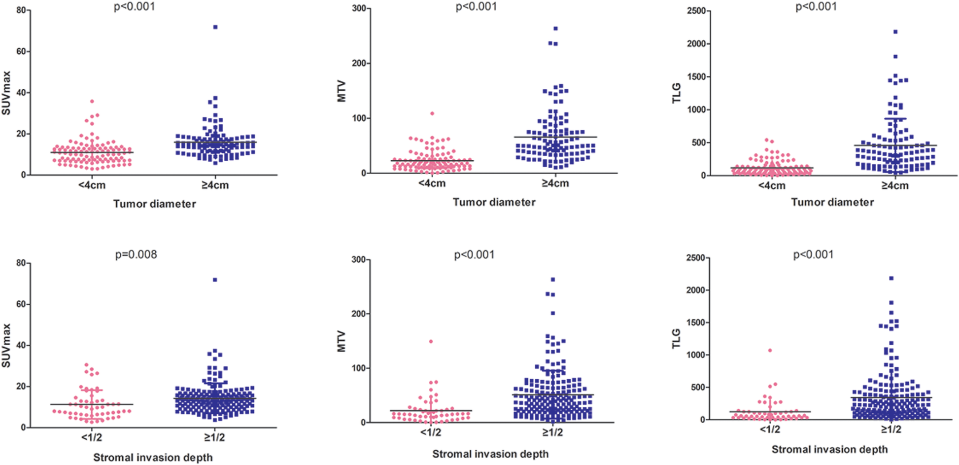
Fig. 2

The relationships between 18F-FDG uptake and tumor size and deep stromal invasion. All PET/CT parameters including SUVmax, MTV and TLG were associated with tumor size and deep stromal invasion statistically in intermediate-risk disease (all p value< 0.001)